Service Workflow
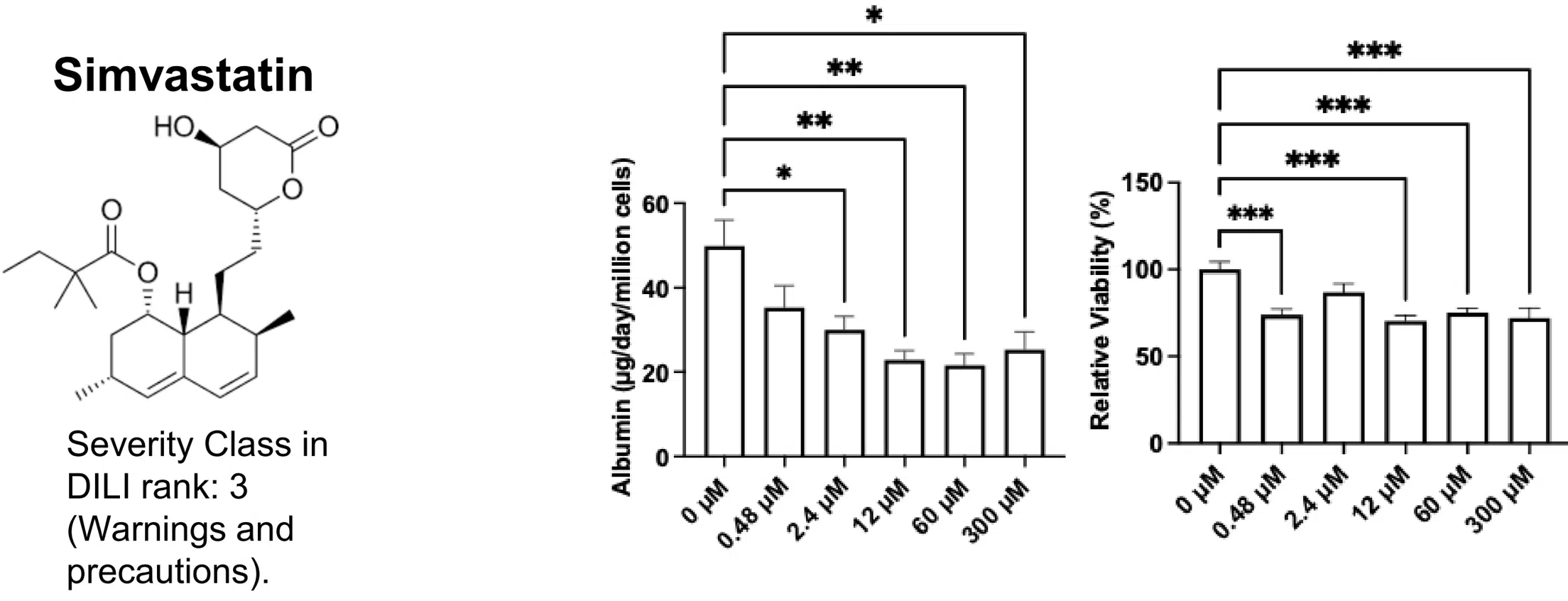
Within the microfluidic device, human hepatocytes can be maintained in long-term, stable culture with sustained viability and metabolic competence. Using a multiparametric panel of readouts-including cell viability, albumin secretion, alanine aminotransferase (ALT) release/activity, and morphological assessments-the platform enables rigorous assessment of a drug's potential hepatotoxic liability. Compared with traditional animal studies and 2D cell culture, the liver OoC demonstrates improved human relevance and translational predictive performance, offering a more forward-looking tool for new drug development and safety evaluation.
Robust validation
>30 compounds, 7 endpoints, and multiple donors.
Human relevance
Data-driven decisions with greater confidence.
High throughput
Scalable design enabling translational capacity.
Proven Reliability
Validated performance on reference compounds.
FDA
Validated and aligned with regulatory objectives.
Application Scenarios
Use our liver-on-a-chip models to anticipate potential liver injury early in development, improving translatability over traditional in vitro assays.
Leverage microphysiological systems to assess how investigational compounds may interact with co-administered drugs under physiologically relevant conditions.
Employ liver-on-a-chip platforms to study absorption, distribution, metabolism, excretion, and interactions in a human-relevant context.
Model mechanism-driven hepatotoxicity using liver microenvironments to uncover pathways of injury and identify biomarkers.
Enable extended culture and repeated dosing studies on liver chips to evaluate chronic exposure and cumulative toxicity.
Use insights from chip-based assays to refine chemical structures and reduce hepatotoxic liability in high-risk drug candidates.
Provide data from validated liver-on-a-chip studies to support regulatory filings and advance the adoption of non-animal safety testing methods.
Your Results Await
We capture each drug's unique, dose-dependent response through mechanism-driven assays and apply robust analytics to accurately predict toxicity-enabling safer, smarter drug development.

